Advances in Animal and Veterinary Sciences
Case Report
Adv. Anim. Vet. Sci. 5(8): 324-328
Figure 1
Blood concentration (Mean±SE) of sodium (mEq/L) during estrous cycle in insulin treated crossbred cows
Figure 2
Blood concentration of sodium (mEq/L) during estrous cycle in insulin treated crossbred cows
Figure 3
Blood concentration of sodium (mEq/L) during estrous cycle in insulin treated pregnant and non-pregnant crossbred cows
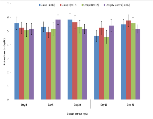
Figure 4
Blood conc. of potassium (mEq/L) during estrous cycle in insulin treated crossbred cows
Figure 5
Blood concentration of potassium (mEq/L) during estrous cycle in insulin treated pregnant and non pregnant crossbred cows









