Advances in Animal and Veterinary Sciences
Short Communication
Adv. Anim. Vet. Sci. 4 (7): 342 - 345
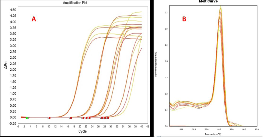
Figure 1
Amplification plots (A) and melting curves (B) for MMP9 gene real-time PCR analysis in CMT tissues
Figure 2
Amplification plots (A) and melting curves (B) for MMP2 gene real-time PCR analysis in CMT tissues






