Advances in Animal and Veterinary Sciences
Reaserch Article
Adv. Anim. Vet. Sci. 4 (6): 279 - 282
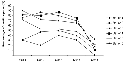
Figure 1
Percentage of motile sperm (%MS) during steps of the freezing-thawing semen protocol (means ± sem); a,b: p<0.05
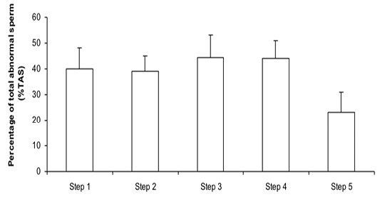
Figure 2
Percentage of total abnormal sperm (%TAS) during steps of the freezing-thawing semen protocol (means ± sem); a,b: p<0.05
Figure 3
Variation of the percentage of motile sperm (%MS) according to stallions during steps of the freezing-thawing semen protocol
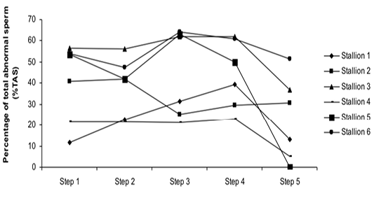
Figure 4
Variation of the percentage of total abnormal sperm (%TAS) according to stallions during steps of the freezing-thawing semen protocol
Figure 5
Sperm morphology features during steps of the freezing-thawing semen protocol (means±sem)









