Advances in Animal and Veterinary Sciences
Daily milk yield after changing from the conventional pipeline milking system to tandem milking system with MultiLactor. (Day 0=10 days before the start of new milking system MultiLactor)
Means with different letters (a, b) are significantly different (P<0.05).
Daily milk yield rate % after changing from the conventional pipeline milking system to tandem milking system with MultiLactor. (Day 0 = 10 days before the start of new milking system MultiLactor).
Means with different letters (a, b) are significantly different (P<0.05).
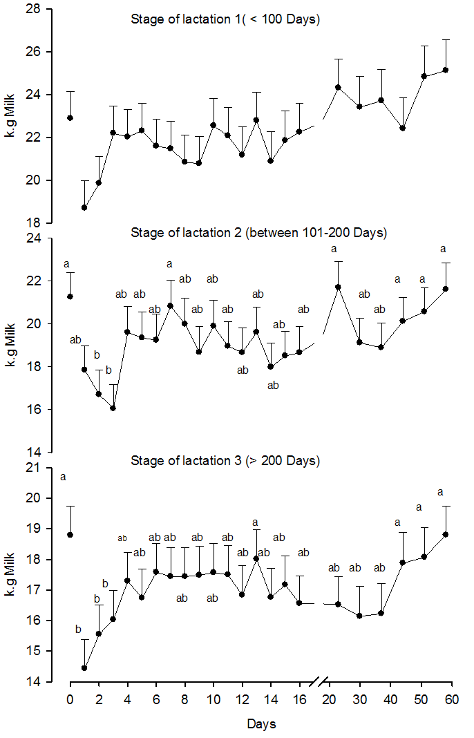
Development of milk production after changing from the conventional pipeline milking system to tandem milking system with MultiLactor in relation to the stage of lactation. (Day 0=10 days before the start of new milking system MultiLactor)
Means with different letters (a, b) are significantly different (P<0.05).
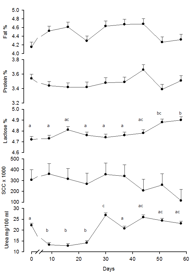
Development of milk components after changing from the conventional pipeline milking system to tandem milking system with MultiLactor. (Day 0=10 days before the start of new milking system MultiLactor)
Means with different letters (a, b) are significantly different (P<0.05).








