TamuBet
MPOATM
Transisi Audio Dan Putaran Wild Bounty
Pola Baru di Mahjong Ways Bawa Perubahan
RTP PG Soft Lebih Unggul Dari Pragmatic
info@nexusacademicpublishers.com
Home
About Us
Journals
Books & Thesis
Teacher/Student Portal
Advisory Board
Contact Us
Society
Softwares
Submit a manuscript
Guide to Authors
Subscribers
Instruction for book & thesis
Journals Menu
Aims & Scope
Author Guidelines
Editorial Board
Article Processing Charges
Free eTOC Alerts
Abstracting & Indexing
Reviewers Acknowledgment
Bibliographic Information
Subscription Information
Publication Ethics
Policies and Statements
Editorial Workflow
Archive
Article in Press
Table of Contents
Manuscript
Submit a Manuscript
Special Issues
Open Special Issues
Published Special Issues
Special Issue Guidelines
Advances in Animal and Veterinary Sciences
Research Article
Adv. Anim. Vet. Sci. 9(10): 1732-1738
Http://dx.doi.org/10.17582/journal.aavs/2021/9.10.1732.1738
View larger version:
View larger version:
Download Original File
Diagram 1
View larger version:
View larger version:
Download Original File
Figure 1, 2, 3 and 4
View larger version:
View larger version:
Download Original File
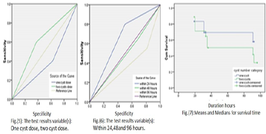
Figure 5,6 and 7