Advances in Animal and Veterinary Sciences
Research Article
Adv. Anim. Vet. Sci. 9(8): 1259-1266
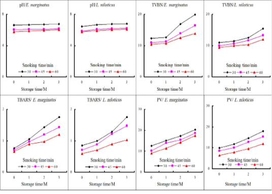
Figure 1
Changes in the physicochemical criteria of vacuum-packed hot smoked fish during storage at 4C.
Figure 2
Changes in microbial load (log10 CFU/g) of vacuum-packed hot smoked fish during storage at 4C.
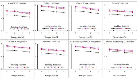
Figure 3
Changes in the sensory quality of vacuum-packed hot smoked fish during storage at 4C.







