Advances in Animal and Veterinary Sciences
Research Article
Adv. Anim. Vet. Sci. 9(8): 1176-1189
Figure 1
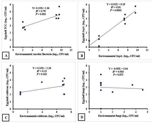
The association between the microbial load of the farm surface environment and the eggshell microbial contamination. R2: Coefficient of Determination.





