Advances in Animal and Veterinary Sciences
The experiment design and treatment doses used for TEO. CCl4; carbon tetrachloride, TEO; thymus vulgaris oil.
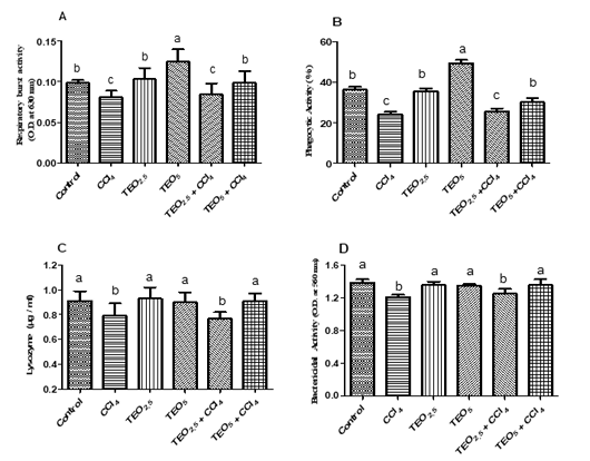
Respiratory burst (A) phagocytic (B) serum lysozyme (C) and bactericidal activities (D) of albino male rats treated with thymus vulgaris oil (TEO2.5 (2.5 mg/ kg b.w) and TEO5 (5 mg/ kg b.w)) and CCl4 for 4 weeks. Data are expressed as Mean ± SEM. The different letters indicate significant difference (P < 0.05) between treated groups.
Serum cytokines levels; TNF-α (A), IL-6 (B), IL-10 (C) and IL-12 (D) of albino male rats treated with thymus vulgaris oil (TEO2.5 (2.5 mg/ kg b.w) and TEO5 (5 mg/ kg b.w)) and CCl4 for 4 weeks. Data are expressed as Mean ± SEM. The different letters indicate significant difference (P < 0.05) between treated groups.
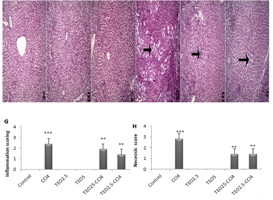
Hematoxylin and eosin staining of liver sections from rats. (A) Control, (B) TEO2.5, (C) TEO5, ( D) CCl4, (E) TEO2.5-CCl4 , (F) TEO5-CCl4 groups, (G) inflammation and (H) necrosis scoring for 4 weeks. Data are presented as mean ± standard error (***p value < 0.001).
The immunohistochemical expression and quantitation of caspase 3 in the liver. (A) Control, (B) TEO2.5, (C) TEO5, (D) CCl4, (E) TEO2.5-CCl4, (F) TEO5-CCl4 groups and (G) scoring for 4 weeks. Data are expressed as Mean ± SEM. Data are presented as mean ± standard error (***p value < 0.001).
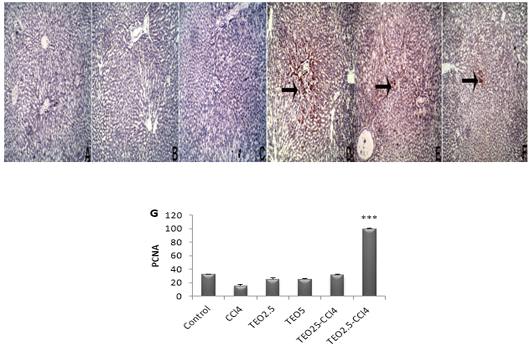
The immunohistochemical expression and quantitation of PCNA in the liver. (A) Control, (B) TEO2.5, (C) TEO5, ( D) CCl4, (E) TEO2.5-CCl4, (F) TEO5-CCl4 groups and (G) scoring for 4 weeks. Data are expressed as Mean ± SEM. Data are presented as mean ± standard error (***p value < 0.001).










