Advances in Animal and Veterinary Sciences
Schedule of feeding and time parameter measurement. Group A feeding was in the form of concentrate and silage as much as 1400 gr/day, group B was 1000 gr/day, group C was 700 gr/day, and group D was 500 gr/day.
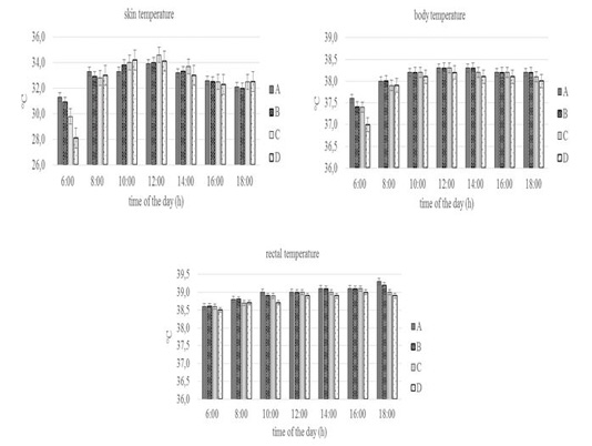
Conditions of skin, body, and rectal temperature of group A, B, C, and D goats. Within each observation time, bars with different letters (a,b) showed significant differences between groups (P<0.05).
Conditions of heart and respiratory rate of Groups A,B,C, and D goats. Within each observation time, bars with different letters (a,b) showed significant differences between groups (P<0.05).







