Advances in Animal and Veterinary Sciences
Weight change of the control rats (T), of the rats of the groups: vehicle control (CV), curcumin control (CC), vehicle formaldehyde (FV), and curcumin formaldehyde (FC). The results are expressed as an average.
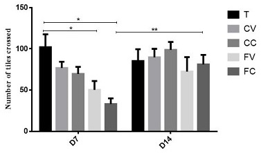
The number of cells crossed control rats (T), rats of the batches: vehicle control (CV), curcumin control (CC), vehicle formaldehyde (FV), and curcumin formaldehyde (FC). The results are expressed. on average ± SEM.
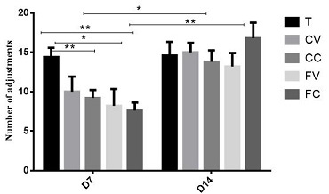
The number of recovery of the control rats (T), of the rats of the batches: vehicle control (CV), curcumin control (CC), vehicle formaldehyde (FV), and curcumin formaldehyde (FC). The results are expressed as the mean ± SEM.
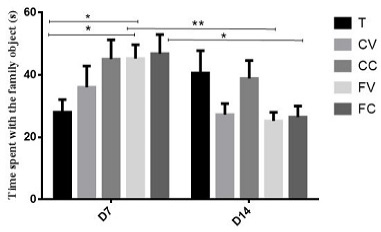
Variation of object recognition parameters (familiar object) in control rats (T), rats of the batches: vehicle control (CV), curcumin control (CC), vehicle formaldehyde (FV), and curcumin formaldehyde (FC). The results are expressed as the mean ± SEM.
Variation of the object recognition parameters (new object) in the control rats (T), the rats of the batches: vehicle control (CV), curcumin control (CC), vehicle formaldehyde (FV), and formaldehyde curcumin (FC). The results are expressed as the mean ± SEM.









