Advances in Animal and Veterinary Sciences
Research Article
Adv. Anim. Vet. Sci. 8(12): 1394-1401
Figure 1
Fertilization rates (mean ± SE) of Clarias batrachus eggs preserved at room temperature (26-28°C) and in refrigerator (2-4°C).
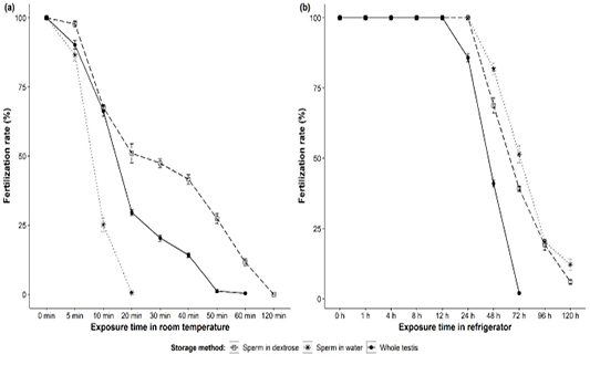
Figure 2
Fertilization rates (mean ± SE) of Clarias batrachus sperm (in dextrose or water and as whole testis) stored (a) at room temperature (26-28°C) and (b) in household refrigerator (2-4°C).
Figure 3
The fertilization success (mean ± SE) based on eggs and sperm contract time in Clarias batrachus.







