Advances in Animal and Veterinary Sciences
Short Communication
Adv. Anim. Vet. Sci. 8(5): 458-462
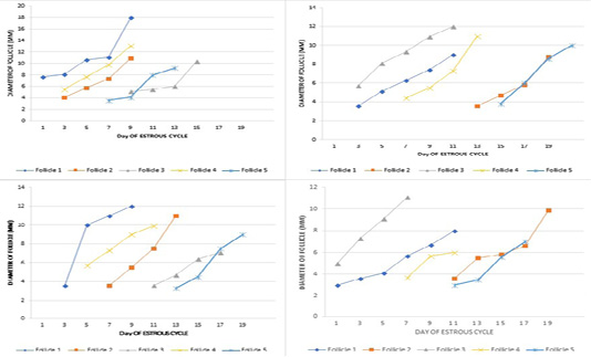
Figure 1
Profiles number of follicular wave in crossbred cow with supplementation of UM3B.
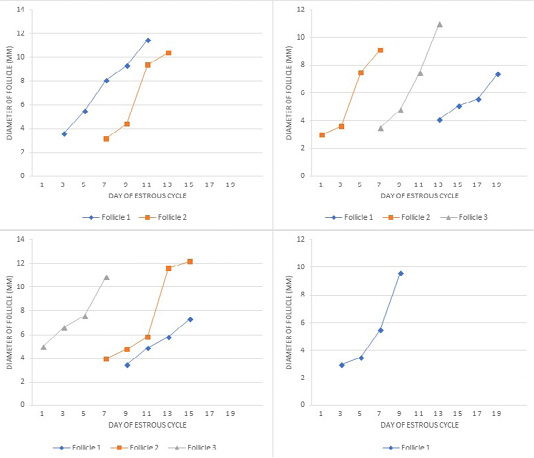
Figure 2
Profile number of follicular wave in crossbred cow without supplementation of UM3B.






