Advances in Animal and Veterinary Sciences
Research Article
Adv. Anim. Vet. Sci. 7(12): 1101-1106
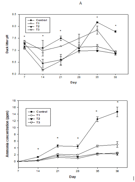
Figure 1
Effects of the addition of chemical blends to duck litter on A) litter pH; and B) ammonia concentration as a function of time.Treatments included:Control, no additives in pen with basal diet; T1, 50 g alum + 50 g aluminum chloride/kg duck litter in pen with 1% HC powder mixed with FRK; T2, 100 g alum + 100 g aluminum chloride/kg duck litter in pen with pelleted 1% HC/FRK; and T3, 150 g alum + 150 g aluminum chloride/kg duck litter in pen with coated pellets of 1% HC/FRK.* indicates significant differences at P<0.05.





