Advances in Animal and Veterinary Sciences
Research Article
Adv. Anim. Vet. Sci. 7(8): 668-673
Figure 1
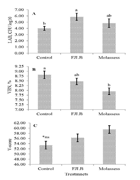
Lactic acid bacteria count (1A), volatile based nitrogen (1B), and V-score (1C) of sorghum ensiled with different additives





