South Asian Journal of Life Sciences
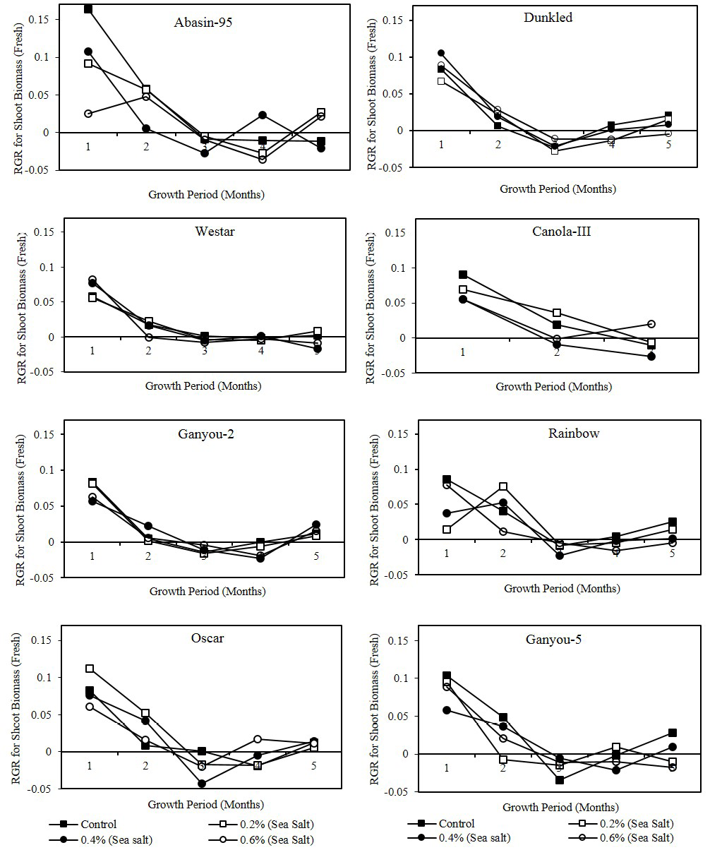
Effect of different levels of saline water irrigation on RGR (gm/gm/day) of fresh shoot biomass of Canola varieties
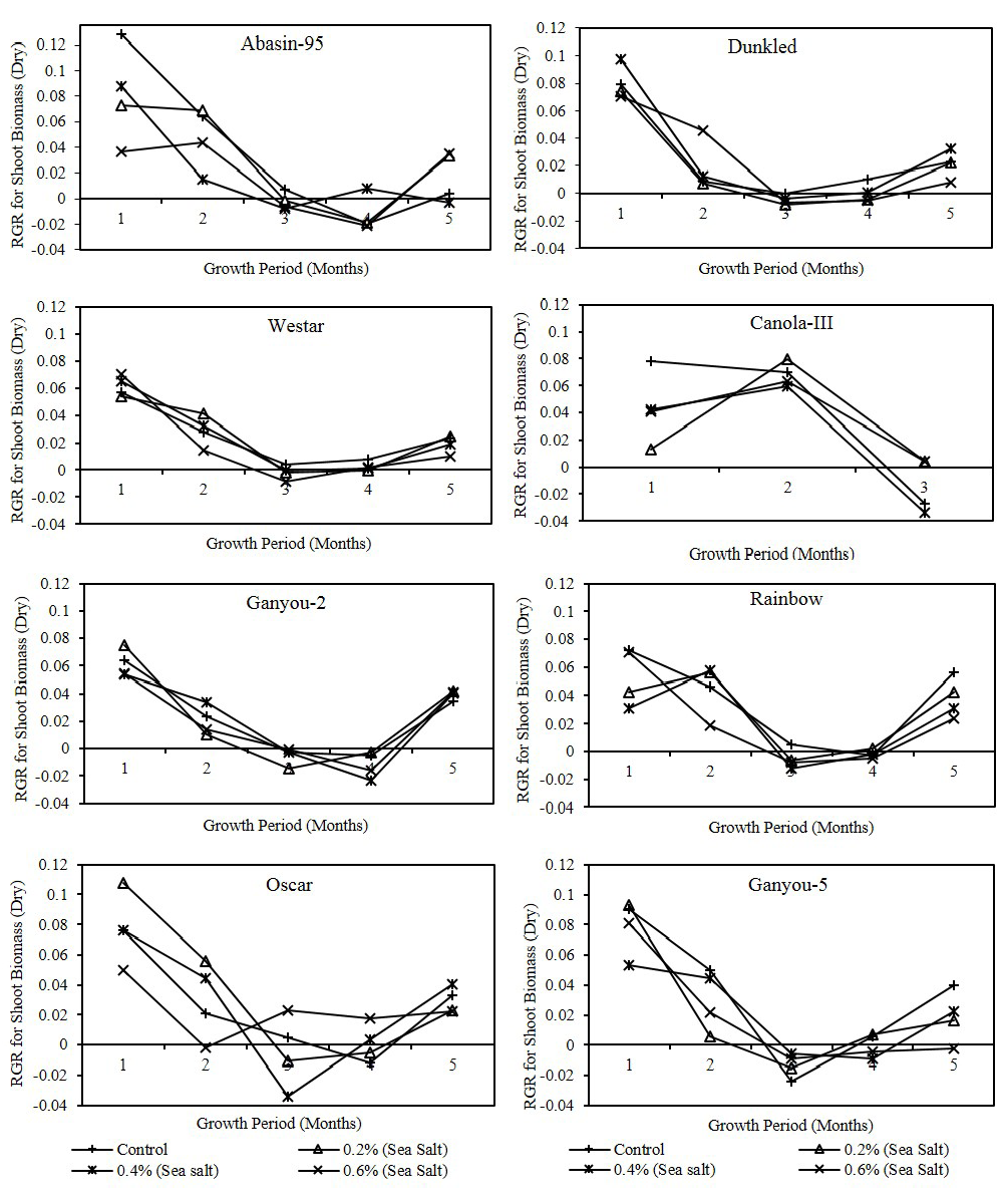
Effect of different levels of saline water irrigation on RGR (gm/gm/day) of dry shoot biomass of Canola varieties
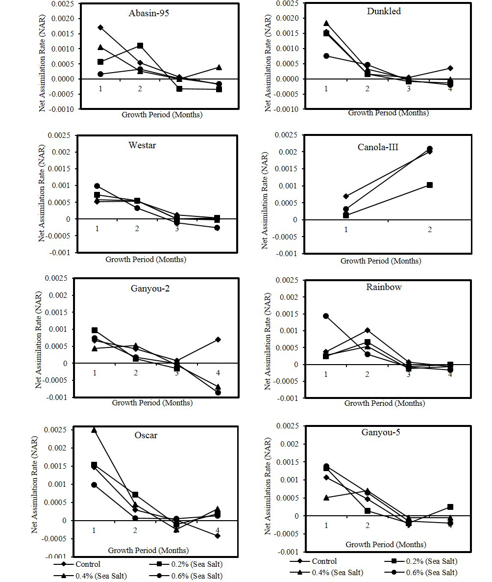
Effect of different levels of saline water irrigation on NAR (gm/cm2/month) Of different Canola varieties
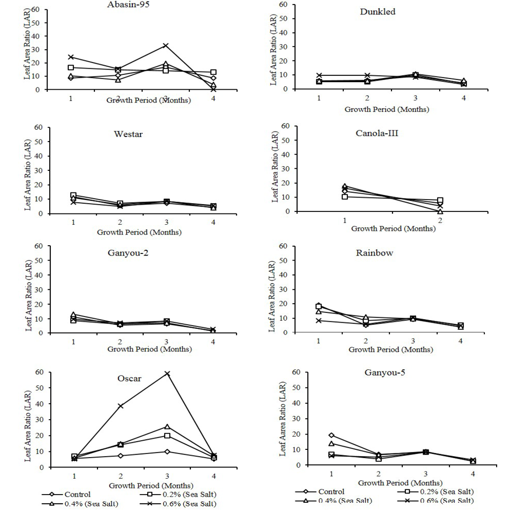
Effect of different levels of saline water irrigation on LAR (cm2/gm/month) of different Canola varieties
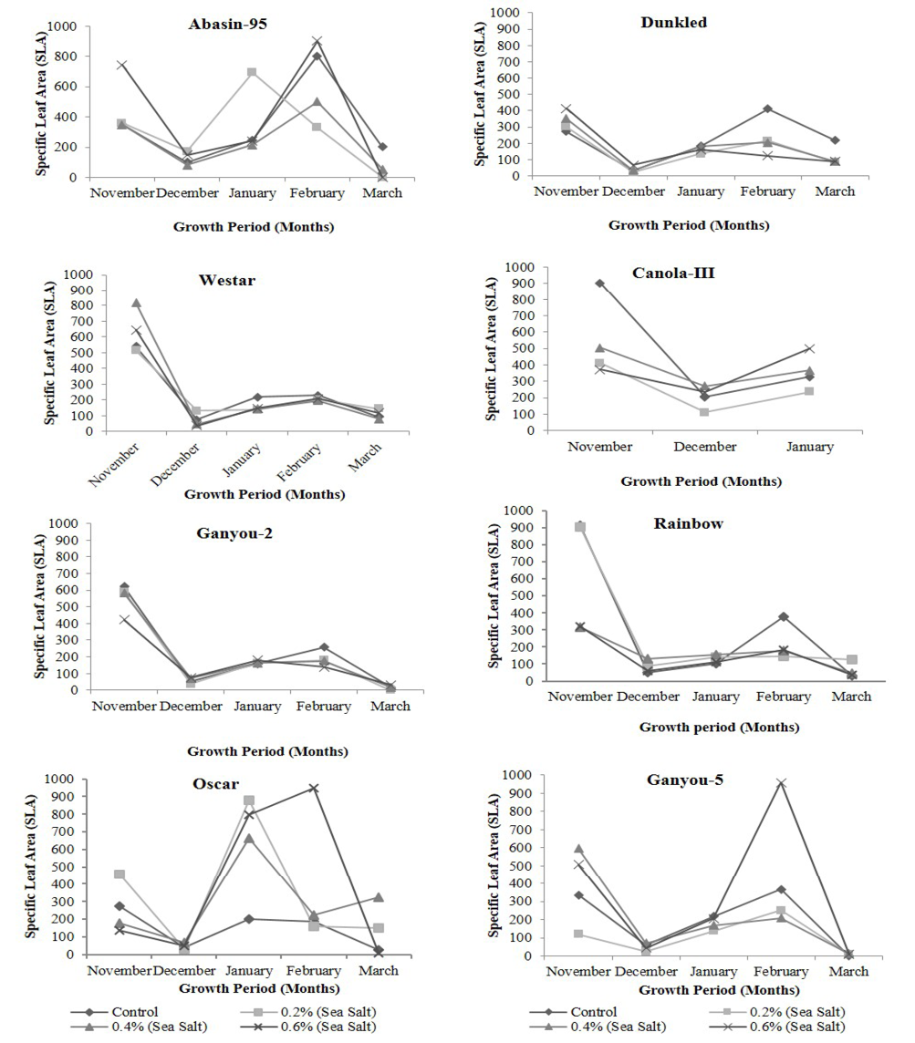
Effect of different levels of saline water irrigation on Specific Leaf Area (SLA) of different Canola varieties
Effect of different levels of saline water irrigation on Leaf Weight Ratio (LWR) of different Canola varieties













