South Asian Journal of Life Sciences
Research Article
S. Asian J. Life Sci. 7(1): 8-13
Figure 1
Aguégués common map showing sampling stations.
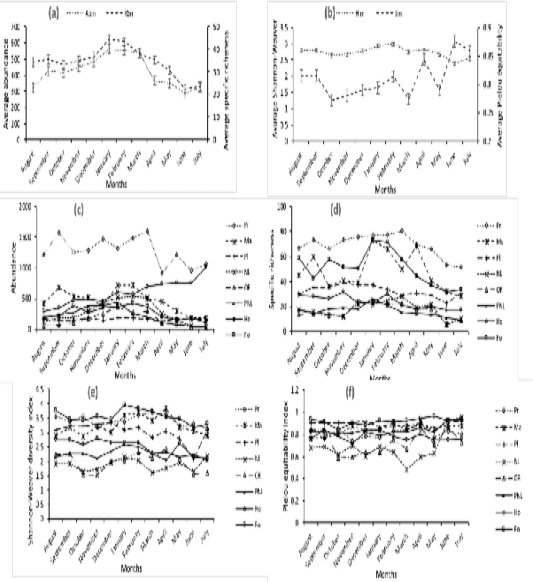
Figure 2
Temporal variation of the global and station diversity (a, b, c, d, e, f)












