Journal of Animal Health and Production
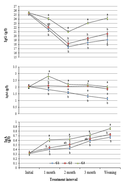
Change in concentration of IgG, IgM and IgA in blood serum of calves in the experimental groups during the suckling period. (a and b: Significant group differences at P<0.05)
Effect of thyme extract treatment on average score of respiratory (RS), feces fluidity (FFS), feces thickness (FTS), feces smile (FSS), and total health (THS) of calves in experimental groups during the suckling period. (a and b: Significant group differences at P<0.05)
Live body weight of calves in experimental groups at different months of the suckling period. (a, b and c: Significant group differences at P<0.05)







