Journal of Animal Health and Production
Research Article
J. Anim. Health Prod. 9(s1): 1-6
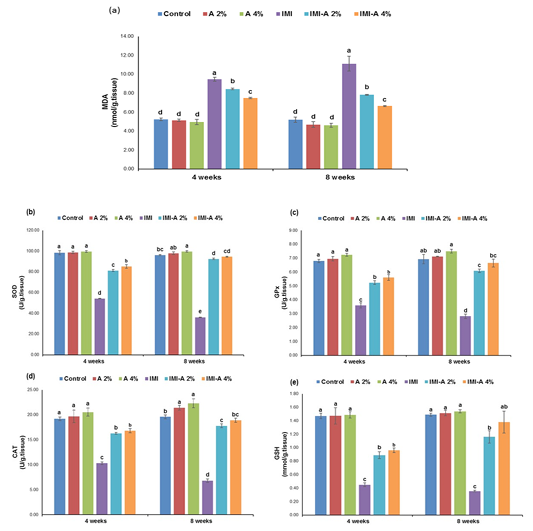
Figure 1
Effect of dietary Azolla pinnata supplementation on hepatic oxidative stress markers of Nile Tilapia influenced by sublethal IMI-polluted water for 8 weeks. Values (means ± SE) with different superscripts are significantly (p˂0.05) different in the same row. Azolla pinnata (A), imidacloprid (IMI), (a) Malondialdehyde (MDA), (b) Superoxide dismutase (SOD), (c) Glutathione peroxidase (GPx), (d) Catalase (CAT), (e) Reduced Glutathione (GSH)





