Journal of Animal Health and Production
Mini Review
J. Anim. Health Prod. 9(1): 72-77
Figure 1
Saccharomyces cerevisiae Cell Wall Model
Source: (Stone., 2009)
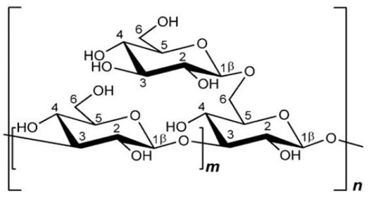
Figure 2
β-(1,3;1,6)-glucan structure
Source: (Synytsya., 2013)






