Journal of Animal Health and Production
Research Article
J. Anim. Health Prod. 7(3): 81-84
Figure 1
Individual bull luteinizing hormone concentration in both the groups before and after GnRH administration.
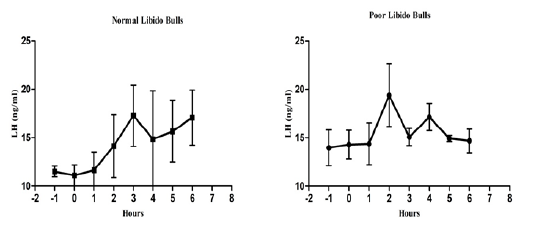
Figure 2
Average luteinizing hormone concentration in both the groups before and after GnRH administration.
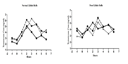
Figure 3
Individual bull testosterone concentration in both the groups before and after GnRH administration.
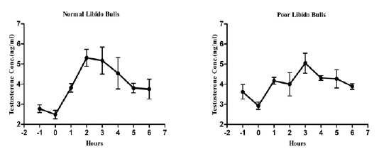
Figure 4
Average testosterone concentration in both the groups before and after GnRH administration.








